InfoKerjaya
Jawatan Terkini
Jawatan Negeri
Jawatan Kosong Mengikut Negeri
Johor
Jawatan kosong di negeri Johor.
Kedah
Kelantan
KL
Melaka
N. Sembilan
Pahang
Perak
Jawatan kosong di negeri Perak.
Perlis
P. Pinang
Jawatan kosong di Pulau Pinang.
Sabah
Sarawak
Jawatan kosong di negeri Sarawak.
Selangor
Terengganu
Jawatan kosong di Terengganu.
Temuduga Terbuka
Temuduga terbuka jawatan kosong.
Karnival Kerjaya
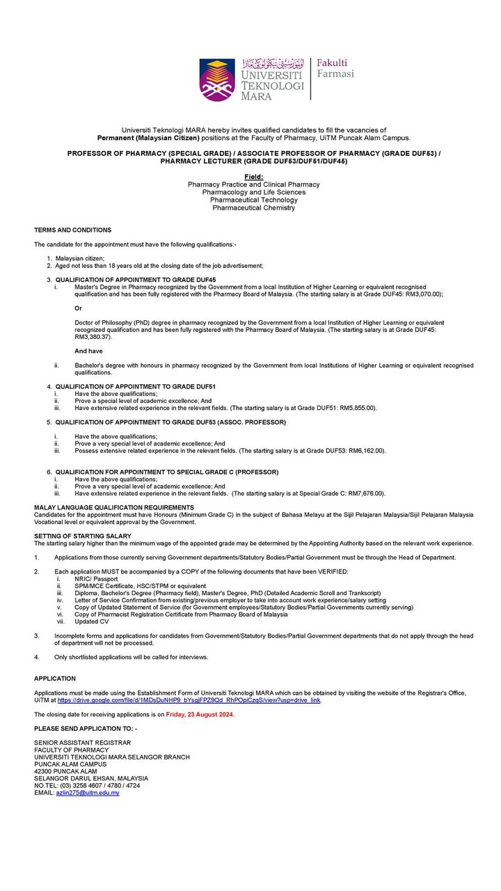
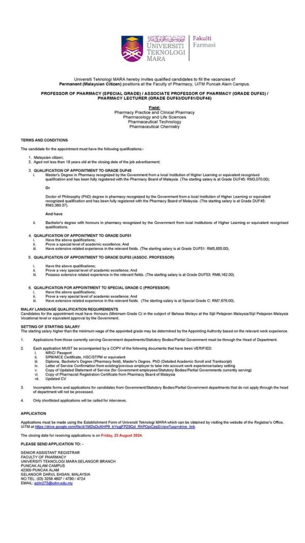
Iklan Jawatan Kosong Universiti Teknologi Mara (UiTM) Cawangan Selangor
Klik Jawatan Disini