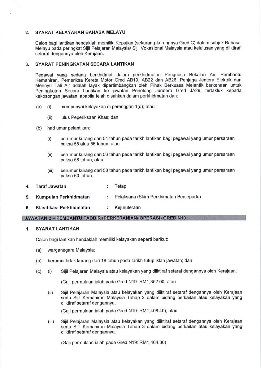
Info Kerjaya Malaysia

Iklan Jawatan Majlis Perbandaran Alor Gajah (MPAG)

 

Like serta Ikut Facebook Kami, follow Chanel WhatsApp Jawatan Kosong & Telegram Portal SPA9 untuk capaian pantas kekosongan jawatan daripada kami sekarang.

Klik Jawatan Disini