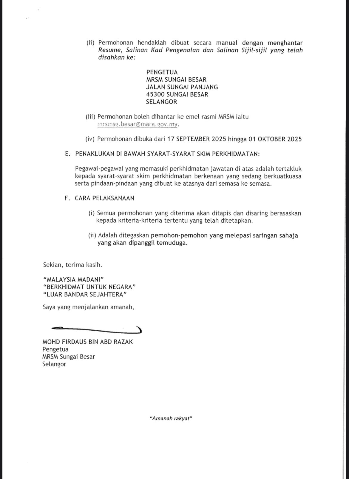
Info Kerjaya Malaysia

Iklan Kini Jawatan Kosong MRSM Sungai Besar

Klik Iklan Disini

Like serta Ikut Facebook Kami, follow Chanel WhatsApp Jawatan Kosong & Telegram Portal SPA9 untuk capaian pantas kekosongan jawatan daripada kami sekarang.