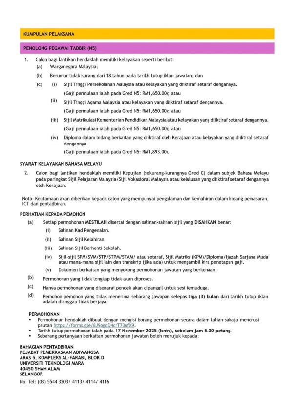
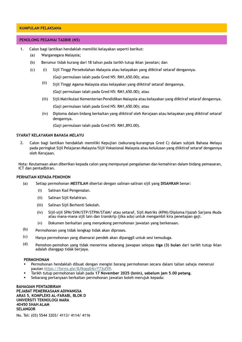
Info Kerjaya Malaysia

Iklan Kini Jawatan Kosong Universiti Teknologi Mara (UiTM) Cawangan Selangor

Klik Iklan Jawatan

Like serta Ikut Facebook Kami, follow Chanel WhatsApp Jawatan Kosong & Telegram Portal SPA9 untuk capaian pantas kekosongan jawatan daripada kami sekarang.